| |
 |
Section 4. Displacement
and Constant Acceleration
In this section, we will assume that acceleration is always constant.
We know that the area under the line of a velocity-time graph represents
the displacement. Therefore, the equation |
| |
|
is true, where Vi is the initial velocity and Vf
is the final velocity, since the area of a triangle is 1/2 * width * height.
|
| |
|
|
| |
|
|
| |
|
|
| |
|
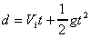
The final velocity of a uniformly accelerated object is
,
where:
-
Vf is the final velocity in m/s,
-
Vi is the initial velocity in m/s,
-
a is acceleration in m/s2, and
-
t is time in seconds.
Therefore, by substituting it into the previous equation,
|
| |
|
is true. |
| |
|
|
| |
|
|
| |
|
|
| |
|
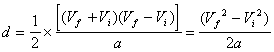
From equations
and ,
we can also say that
 |
| |
|
Therefore,
is true. These red equations are very important and you should be
very familiar with them. (It doesn't mean that you should memorize these
formulae. Learn by using them.) |
| |
|
|
| |
|
|